说好的抗氧化产品清单,我今天来填坑了~

 

其实,本来可以更快的,因为我原打算是只放个产品清单和各种产品的特点就完事的。结果,哎呦,我这个没救的强迫症体质哦,写着写着还是把清单写成了维C全套科普。。。好吧,没耐心看完科普姿势的还是请自行拉到清单段落吧。不过,我真的建议你尽量也看看姿势部分,最起码看看最后的总结,因为这些东西既能帮你省很多钱还能提高维C的使用效果。

 

1. 护肤品广告里常常宣传的“左旋C”和平时我们说的维生素C到底是什么关系?

 

这个问题啊得从维C的四个光学异构体说起: 


大家都知道维生素C又名抗坏血酸,而这种东西呢又是以L-(+)-抗坏血酸的人体活性最高的,其次是L-(+)-异抗坏血酸,但活性较低,所以一般只作为工业用的食品抗氧化剂使用,剩下的两种异构体几乎无活性,自然也没有什么实际应用。所以,商家拼命宣传的左旋C指的就是L-(+)-抗坏血酸。

 

但是,这里就有个问题需要解释一下了:最具活性的L-(+)-抗坏血酸的正确中文叫法并不是商家宣传的“左旋C”,而应该是左式-右旋C。因为L-(+)-抗坏血酸中的这个“L”指的并不是它的旋光性,而是一种叫做费雪投影式的东西(这是一种在平面上描述有机化合物立体结构的方法,是一个人为规定的东西,它的叫法就是左式或者右式),而那个“+”才是指的旋光性,这个数值不是人为规定的,而是用旋光仪测出来的,以“+”代表右旋,“-”代表左旋。或者说最具活性的L-(+)-抗坏血酸实际应该叫做“右旋C”或者“左式右旋C”,而不是现在普遍宣传的“左旋C”而且,大家在护肤品、保健品、药品里能用到的也都是这种维C,并不需要担心买到其他几种没有或很低生理活性的异构体。

 

2.既然能用到的都是活性最高的维C,那商家为什么还要不遗余力的宣传“左旋C”这个概念呢?


因为,

 

第一,维C 实在是太活泼了,尤其是在普通的化妆品中,几乎不可避免的会在较短时间内变质,变成对我们毫无用处的垃圾,甚至是对人体有害的物质。

 

维C只要与空气接触,就可以在短时间内被氧化成脱氢抗坏血酸,使产品逐渐变成淡黄色,这时候其实在人体内还是有生理活性的,因为脱氢抗坏血酸在体内是可以转变成具有活性的抗坏血酸的。不过呢,在空气、光热的作用下,它还会继续水解成糠醛,颜色也进一步加深呈棕黄色,这时候就基本算是玩完了。。。甚至,在变成棕黄色以后还可以进一步氧化变成有毒的草酸。嗯,你的维C精华还行不行是可以大概靠观察颜色来判断的~

 

这是维C产品30度下密闭避光保存16天的结果:


维C产品40度下密闭避光保存16天的结果:


强光照射16天:


40度避光密闭保存6个月:

25度避光密闭保存9个月:


从以上内容可以看出,除了冻干粉的剂型以外,其他方便使用的液体剂型都是不稳定的,尤其在高温、光照等不利条件下。

 

甚至即便是密封很严的维C注射液都不能长期保持原有含量(这种溶液都是经过惰性气体处理的,包括包装的安瓶都是特别处理过的,比化妆品可是要高好几个段位呢):


其次,维C因为是亲水性的,所以外用的话对于皮肤来说并不是很好吸收;

 

第三,维C浓度越高pH值越低(酸性越强),皮肤也越容易受到刺激。

 

为了解决这些问题,化学家们就在维C的基础上改造出了多种衍生物,比如:

 

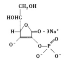
抗坏血酸磷酸酯镁/钠

稳定性较维C稍好,但也是水溶性的,对于皮肤的亲和力也较差。其中,磷酸酯镁比磷酸酯钠的抗氧活性稍强。

 

抗坏血酸葡糖苷


简单说就是维生素C和葡萄糖嫁接后的结果,终于让维C从单纯的亲水性变成了两亲性(也就是既有亲水性又有了一定亲油的能力,虽然还是比较弱),对皮肤的亲和力就有了一定的提高,稳定性也更好了。从细胞实验来看,抗氧化能力在维C衍生物里来说也算比较好的。所以,整体是维C系的成分里比较出众的了。


缺点嘛,主要就是贵,所以一般只有比较高档的化妆品才舍得用,因为合成技术比较复杂(但成分更贵不等于美白效果就一定更好,只能说舍得用这个成分的产品制造成本确实可能比一些同类更高)。


它最先是由日本公司研制,目前也还是由日本公司垄断。(其实这才是日系护肤品相对较好的真正原因之一,毕竟近水楼台先得月,好原料肯定还是多被自己人先用上~什么更适合亚洲肤质之类的说法也就是图个宣传上比较顺手而已,毕竟这些内容才是大众更容易听懂的~)

 

3-o-乙基抗坏血酸

这是维生素C和更加亲油的烷基嫁接的结果,你可以理解为,它的亲油性相对前面的葡糖苷更强了,或者说两亲性更强了,亲肤性能更好了~稳定性和抗氧化性在维C衍生物里也是佼佼者,至少从细胞实验的结果来看是这样的。

 

更讨喜的是,它的价格比起葡糖苷来也更加亲民。嗯~在维C衍生物里,它可算是性价比最高的!

 

它可能在配方表里出现的名字还有很多,比如:3-o-乙基抗坏血酸、2-o-乙基抗坏血酸、乙基维生素C、乙基抗坏血酸、抗坏血酸乙基醚等。

 

含有以上这些维C衍生物的产品一般也会宣传维生素C的各种功效,然而,它们虽然具有稳定性更好、亲肤性更佳、更温和等等的优势,但从生理活性上来说却还是都比不过维C的,所以,就有了很多品牌又回头去做原型维C,这时候大家为了表示和不太管用的维C衍生物的区别就打出了“左旋C”的招牌。

 

或者说,“左旋C”这个概念对于普通消费者最大的作用其实也就是可以帮助区分维C原型物和维C衍生物而已。

 

不过,维C原型类产品始终需要面对的三座大山——稳定性、刺激性、透皮吸收性并不会因为它的活性更高、原料价格更低廉而有任何改变。所以,到底要怎么办?

 

终于,人们有想出了各种各样维持维生素C“新鲜度”的方法,总结一下大概分为三条思路:

 

1)用尽量小的包装。

 

这样就可以让你在VC还没被氧化完之前就把它用完,顺便还能降低产品单价(乍一看让你感觉不是很贵),提升你的复购率(真要能坚持用下来,那厂家可就赚发了),比如:

 

修丽可维生素CE复合修护精华液

原产国:美国

价格:1490元/30ml(49.66元/天,按可用30天计算,还没敢算脖子)

浓度:15%

优点:

  • 高含量维C配合1%维生素E+0.5%阿魏酸的协同作用是它的最大卖点,在新鲜期中这货的抗氧化水平还是值得期待的

缺点:

  • 贵啊,贵到没朋友!真要用起来海蓝之谜的神奇面霜都没它烧钱,别问我怎么知道的(而且据我有限的化妆品制造业的常识推断这货的原料成本远低于神奇面霜,所以它凭什么这么贵?你们猜);

  • 刺激较大。这个没办法的,维C含量高嘛,为了保证活性,pH也只能低一点,不然维C们分分钟灰飞烟灭给你看啊~

  • 稳定性差。要尽可能买新鲜的,尽可能快速用完;


仙丽施(Cellex-C)Advanced-C Serum

产地:加拿大

价格:550元/30ml(18.33元/天,按可用30天计算)

浓度:17.5%

优点:

  • 价格相对同类的修丽可简直是良心(实际上还是很贵的,只是修丽可太惨绝人寰才衬托出了它的可爱);

缺点:

  • 暂无国内官方的购买渠道,售后没保证,货期也不能保证足够新鲜;

  • 刺激性较大;

  • 稳定性差;


Obagi欧邦琪美白VC精华

产地:美国(被日本乐敦收购)

价格:C5—198元/10ml 、C10—258元/12ml、C20—526元/15ml(35.06元/天,按可用15天计算)

浓度:5%、10%、20%

优点:

  • 各种浓度可选;

  • 价格介于修丽可和仙丽施之间,嗯,还是一个字:贵!;

缺点:

  • 暂无国内官方的购买渠道,售后没保证,货期也不能保证足够新鲜;

  • 作为一个原料桶型的产品配方居然有香精?

  • 稳定性差;


Timeless CEF抗氧化精华


产地:美国

价格:100元/30ml(3元/天,按可用30天计算)

浓度:20%

优点:

  • 配方套路在这几款产品里和修丽可最相似,浓度还高了5个百分点,且据说pH值并没有更低,而价格却终于落在了人间,一天大概3块钱的花费,额,我表示还是可以接受的;

缺点:

  • 暂无国内官方的购买渠道,售后没保证,货期也不能保证足够新鲜;

  • 稳定性差啊,要尽可能买新鲜的,尽可能快速用完;

  • 有人说它是美国的三无?不懂美国法规,了解的可以来说说;

  • 居然也有香精?


这个类别里还有升级版的安瓶款:

 

MartiDerm 光润活肌精华


产地:西班牙

价格:559元/60ml(9.31元/天,按可用60天计算)

浓度:15%

优点:

  • 安瓶包装,相对前面30毫升的大瓶子们在保存VC新鲜度方面有较大优势;

  • 基质里终于有点料了,再不是只有甘油丁二醇之类的亲水性保湿剂而终于见到了各种油脂和乳化剂,更接近传统精华液的配方特点;

  • 搭配有维A酯,大概可以满足部分宝宝又想用A又想用C的心理?

缺点:

  • 对于油性皮肤来说可能会感觉比较油腻,甚至有诱发痘痘的可能;

  • 使用麻烦,开瓶需要技巧,小心玻璃扎到手哦!

  • 刺激性也不小,敏感肌慎重;

  • 居然也有香精?


ISDINCEUTICS 怡思丁秀提焕颜安瓶精华

 

产地:西班牙

价格:189元/20ml(9.45元/天,按可用20天计算)

浓度:15%

优缺点:和MartiDerm也不知道谁抄的谁,反正整体上是大差不错的节奏,除了没有复配维A酯其他直接参考上面好了;

 


2)无水配方。


除了弄小包装深棕瓶以外,可行的另一个办法就是尽可能提高VC的稳定性了~说白了就是要么隔绝空气,要么隔绝水,相对来说对于护肤品来说更容易实现的就是隔绝水咯~这类产品的代表作有:


科颜氏维生素C紧肤精华乳

产地:美国

价格:50ml/650元【5.41元/天,按可用三个月计算】

浓度:10.5%

优点:

  • 使用方便,肤感尚可(但对于皮肤偏干的我来说也需要搭配其他产品才能做好保湿);

  • 价格相比同类产品来说还算OK;

缺点:

  • 高聚物太多容易搓泥!

  • 高浓度甘油肤感发热是标配,刺激性大这一点没跑;

  • 虽然是硅包VC的无水配方,相对普通产品对VC活性的保存还是有一定优势的,但毕竟包装很大啊,短时间内不可能用完,据说这款的稳定性也不是很好,用到最后会油水分离,总之对它的VC活性保存问题我依然表示不很乐观;


希玛仕左旋C精华液

产地:美国

价格:10ml/1000元【66.66元/天,按可用15天计算】

浓度:23.8 %

优点:

  • 浓度大概是全网最高了吧?只要你能耐受,效果应该不会差;

  • 无水配方比一般配方能更好的保存VC活性;

缺点:

  • 贵到惨绝人寰;

  • 号称“油水共溶,更好吸收”,其实就是用大量的甘油丙二醇聚乙二醇-8和乳化剂做基质,和科颜氏有着一样的发热感,刺激性大也是标配;


乐敦CC

产地:日本

价格:20g/80元(1.77元/天,按可用45天计算)

浓度:不详

优点:

  • 使用方便,肤感尚可(但对于皮肤偏干的我来说也需要搭配其他产品才能做好保湿);

  • 价格相比同类产品来说还算OK;

  • 包装也相对科颜氏更靠谱一点,小只,用的快,且瓶口密封更严一点;

缺点:

  • 肤感差?哎,算了,这个问题我都觉得在这类产品里是通病,可以省略了。。。

 

这个类别里也有升级版——粉末款:


自然哲理维他命C粉

产地:美国

价格:7.1g/200元【1元/天,按可用半年计算】

浓度:99.3%

优点:

  • 因为是纯的维C粉末,所以用量非常省,早晚都用的话大概能用半年以上,相对普通的VC化妆品造价是非常低了(但我想不通的是既然都用这种半成品了,何不买VC药片或者注射液用呢?那才是真便宜啊);

  • 稳定性比液体剂型的要好很多;

缺点:

  • 自己瞎调配容易溶解不均,这可能导致局部pH值过低,刺激性过大(如果没有人工调整的话,10%的VC溶液pH值就能跟医院刷酸用的高浓度果酸有一拼);


赛贝格臻白淡斑粉

产地:法国

价格:1.95g/165元【23.57元/天,按可用七天计算】

浓度:20%

优点:

  • 相比自然哲理那款原料瓶,这个东西就正常多了,虽然看起来也是粉末状,但其实是经过深度加工的,VC浓度已经只有20%了,耐受力好的皮肤可以直接涂,涂抹的均匀度也相对自己随便勾兑瞎搅和出来的要好一些;

  • 稳定性比液体剂型的要好很多,按照说明使用的话,那真是天天都是新鲜维C啊;

缺点:

  • 还是贵啊!!!165元只能用7天啊啊啊啊~~~平均一天23.57元!

  • 使用起来非常不方便!可以直接涂抹这一点相比自然哲理的原料瓶还是方便很多的,但毕竟是个粉末款,如果全脸用的话,涂抹后的肤感以及和其他护肤品的搭配都不是很理想,年轻的中性及以上肤质不需要对角质层额外调理的宝宝应该感觉不明显,年纪大又干皮的我表示对它的依从性确实不太好啊~买的时候肉疼,结果买来只用了几次居然被我闲置了,置了,了。。。我,我是有多不待见这个剂型啊?!其实,如果能坚持用下来的话我估计是真的会有效果的(嗯,买的时候就是这么踟蹰满志,现在依然停留在踟蹰满志中),然而,依从性这个东西看似最好控制实则要求很高啊(嘴上说着我可以,身体却很诚实的放弃了),总之,千万别小瞧了肤感和使用方便度哦~或许只有局部点涂比较好用,嗯,官方宣传也是什么痘印橡皮擦,自我定位还挺精准的?

  • 使用时依然不能排除局部浓度过大或实际利用率较低的问题;


3)最后不得不提一下的奇葩——1和2的交叉版本:

 

倩碧鲜活维C修复精华液

产地:美国

价格:34ml/200元【17元/天,按可用34天计算】

浓度:10%

优点:

  • 包装创新,把VC粉和基质分开装,用的时候才搅和到一起,基质的包装也很小,一瓶8.5毫升也就用一周左右,使用起来终于比较方便了且确实更好的保存了珍贵的VC活性;

  • 肤感尚可,不会干巴巴的粘,也略微有点保湿,价格也勉勉强强可以靠勒紧裤腰带整起来(我以为我看到了阳光,然而往下继续看);

缺点:

  • 基质会假滑

  • 容易搓泥(单用还行,搭配某些粉底会搓泥搓到让你怀疑人生);


最后,再说说维C类产品的购买、使用和保存吧:

 

  • 甭管多大牌,宣传的技术听起来多牛逼,都请尽量买最新生产的!千万别以为只有开封了的才会保不住,事实上,从原料投入生产的那一刻起,维C就已经在马不停蹄的走向死亡了。。。越不稳定的剂型越要注意这点!各种剂型稳定性的大概排序:干粉类>安瓶类>无水配方类>普通小包装;

  • 在皮肤能耐受的前提下,别抠门,敞开了造,即便它们都很贵!因为用太少了并没有效果,更是浪费钱!

  • 第一周可更大量更频繁的使用,维持期可适当减量。比如开始时一天两次,让皮肤内VC浓度上升,产生效果以后慢慢改为一天一次维持效果;

  • 有条件的可以每周用超声波仪导入一次,因为维C并不容易进入皮肤,日常涂抹主要作用在表皮,而家用的导入装备也就是超声波导入最简单可行(具体的导入仪推荐我今就不写了,怕买过什么日立雅萌的看完哭晕在厕所);

  • 不宜与维生素K3叠加使用(人工维生素K),因为K3有氧化性;

  • 最好不与烟酸(或烟酰胺)叠加使用,以避免两者反应,也能减少皮肤刺激;

  • 选择产品时不要盲目追求浓度,因为高浓度的产品一般pH值都偏低,刺激更大;

  • 一定要避光保存,不用的时候一定要盖好旋钮!25度左右的常温即可,无需冷藏~

  • 千万不要囤货,随用随买,理由同上!

  • 对于想靠VC抗老化的宝宝们需要长期坚持不懈的使用,否则没有太大意义。长期用不起咋办?等着看续集呗——专治维C太贵买不起!


好文章写起不易,且赞且珍惜哦~爱你萌,么么哒!


不广告没软文只有高级干货

长按二维码关注